
투자서를 본격적으로 읽기 시작한 건 2018년쯤 부터이다. 당시에 친구 덕분에 홍진채님을 오프라인으로 만날 기회가 있었고, 어떤 책에 대해 이야기를 하는데 그 깊이가 남달랐다. 물론 주식에 대한 이야기도 재미있게 들었던 기억이 난다. 책 출판 소식을 듣고 바로 읽었는데 역시 너무 좋다. 진짜 전문가는 어려운 것도 쉽게 설명하는데 홍진채님의 책이 바로 그렇다. 투자서하면 좀 딱딱하지 않나? 라는 생각이 먼저 드는데, 이 책은 옆에서 조곤조곤 설명해주는 느낌이다. 진정어린 마음으로 조언해주려는 마음이 느껴진다고나 할까?


PART1. 우리의 마음은 투자에 실패하도록 설계되어 있다
"주식투자를 처음 시작하셨나요? 좋습니다. 주식투자에 관심 없는 삶이 훨씬 더 윤택하긴 한데, 뭐 어쩔 수 없죠. 이왕 시작했으니 잘해봅시다."라는 위트있는 멘트로 책이 시작된다. ^^;
의사결정을 반드시 기록하는 습관을 들여야 한다. 기록을 하지 않으면 과거의 의사결정을 왜곡하게 되고, 왜곡된 기억을 가지고 현재를 평가하면 잘못된 결론을 얻을 수밖에 없다. 무엇을 기록할 것인가? 의사결정에 포함되는 가설은 반증가능한 형태여야 한다. 복잡적응계에서 좋은 원칙이란 '여러 번 시행했을 때' 성공 확률이 높아지는 원칙이다. 반증가능한 명제들로 투자 의사결정을 조립해나가면, 한 번의 시행에서 나쁜 결과가 나오더라도 원칙을 꾸준히 개선할 수 있다.
저자는 '반증가능한 아이디어'를 가지고 투자를 진행해야한다고 거듭 강조한다. 그리고 의사결정은 전날에 끝내고, 당일에 아이디어를 훼손할만한 이슈가 발생하지 않는 한 결정을 바꾸지 않는다고 한다.
PART2. 질문만 바꿔도 길이 보인다
마켓타이밍을 추구할 수 없다면 매수·매도의 판단을 어떻게 해야 할까? 질문을 이렇게 바꿀 수 있다.
- 현재의 가격대는 얼마나 편안한가?
- 현 가격대에서 3년간 보유할 경우 연평균 기대수익률은 얼마인가?
- 만약 상승한다면 얼마나 상승할 수 있고, 하락한다면 얼마나 하락할 수 있는가?
'편안한 가격에 도달했다'란 '바닥에 가까운 가격이다' 또는 '곧 반등이 임박했다'라는 뜻이 아니다. '하락잠재력 대비 상승잠재력이 더 크고, 여기서 더 하락하더라도 내가 충분히 감내할 수 있다'라는 뜻이다.
주식을 팔까 말까 고민할 때 던져야 할 질문은 '아이디어가 소진됐는가?'라는 단 하나다. '현재 이 금액을 100% 현금으로 보유하고 있다면, 이 주식을 사겠는가?'로 바꿀 수도 있다.
PART3. 이기는 질문, 지지 않는 투자
주식투자로 돈을 버는 행위는 주식을 내가 산 가격보다 비싼 가격에 누군가에게 파는 것으로 완료된다. 가격이란 무엇이며, 가격을 움직이는 요인이 무엇인지는 반드시 던져야 할 질문이다.
가격의 변화를 예측하는 가장 흔한 모델로 '가격-가치 갭 모델'이 있는데, 그 작동원리는 다음과 같다.
- (가정1) 주식에는 내재가치가 존재한다. → (행동지침1) 가치를 엄격하게 분석하라.
- (가정2) 가격이 가치와 차이 날 때가 있다. → (행동지침2) 가격이 가치보다 충분히 쌀 때를 기다려서 매수하라.
- (가정3) 장기적으로 가격은 가치에 수렴한다. → (행동지침3) 가격이 가치에 도달하면 미련 없이 매도하라.
이 모델을 사용하는 사람들은 '시장은 비효율적이다'라고 쉽게 가정(가정2)하지만, (가정3)에서는 시장이 효율적일 수 있다고 하는 오류를 범한다. 이 모델의 궁극적인 문제는 '반증 불가능하다'라는 점이다. 이런 모순 때문인지 이 모델을 추종하는 사람들은 행동지침 하나를 추가한다.
- (행동지침4) 확실히 눈에 보이는 가치를 추구하라.
'가격-가치 갭 모델'을 따르는 사람들은 무형자산에 대한 가치를 높게 보지 않겠구나...라는 생각이 잠시 들었다. 저자는 가격은 가치에 수렴하지 않는다고 하면서, 스쳐 지나가거나 영원히 도달하지 않는다고 말한다.
가격을 바라보는 우리의 관점은 '제한적 합리성 모델'로 바꾸어야 한다. 그 작동원리는 다음과 같다.
- (가정1) 각 투자자는 각자의 원칙을 가지고 있다.
- (가정2) 각 투자자가 입수할 수 있는 정보는 제한적이다.
- (가정3) 각 투자자는 제한된 정보와 불완전한 원칙을 바탕으로 의사결정을 한다.
- (가정4) 각 투자자의 의사결정 결과는 다른 투자자의 의사결정에 영향을 미친다.
- (행동지침1) 다른 투자자가 입수할 수 있는 정보의 범위를 추측한다.
- (행동지침2) 다른 투자자가 사용하는 의사결정 원칙을 추측한다.
- (행동지침3) 현재 이 주식을 관찰하는 사람들(오늘 매수한 사람, 오늘 매도한 사람, 과거에 매수해서 보유하고 있는 사람, 관심 있게 보지만 매수하지 않은 사람)의 의사결정 근거를 추론한다.
- (행동지침4) 시장 참여자들이 지금보다 더 낙관적으로 변했을 때 얼마나 더 높은 가격을 지불하고도 주식을 사려고 할지, 반대로 더 비관적으로 변했을 때 얼마나 더 낮은 가격에도 주식을 팔려고 할지 추론한다.
- (행동지침5) 현재 가격 대비 위 4번의 상승 잠재력이 하락 잠재력보다 클 경우 매수하고 보유한다.
- (행동지침6) 위 1~4번을 계속 업데이트한다. 5번을 만족하지 못할 경우 비중을 줄이거나 매도한다.
남보다 나은 성과를 내기 위해서는 다음 질문에 대답할 수 있어야 한다.
- 내 생각과 남들의 생각은 다른가?
- 그 차이는 언제, 어떻게 메꿔지는가?
- 내가 틀렸음을 언제, 어떻게 알 수 있는가?
- 내가 틀렸을 때 무엇을 배울 수 있는가?
PART4. 지속 가능한 성장을 위하여
주식투자는 양궁보다 주사위 게임에 가깝다. '운이 크게 영향을 미치는 영역에서 실력이란 무엇인가?'라는 질문에는 대답이 가능하며, '실력을 늘리는 방법'에 대한 힌트도 얻을 수 있다. 다수시행을 할 수 있는 구조여야 확률분포대로의 결과를 내 손에 쥘 가능성이 커진다. 최악의 경우가 발생했을 때 내 인생에 지장이 생긴다면, 즉 '다시는 게임에 참여할 수 없을 정도의 타격을 입는다면' 그 게임에는 참여하지 말아야 한다.
주식시장에서는 운과 실력은 상충하는 개념이 아니다. 실력이 기댓값이고 운이 편차라는 정의는 노력해서 단일시행의 기댓값과 편차를 바꿀 수 있는 경우에만 유용하다(의사의 치료, 농구선수의 골인 등). 단일시행의 기댓값과 편차를 바꾸기 어려운 주식시장에서는 쉽사리 통하지 않는다. 전문가라는 사람들이 그다지 전문적이지 않은 것도 이 때문이다...라고 뼈때리는 말을 하네요. 저자 자신이 전문가인데 말이죠. 이런 영역에서의 실력은 확률분포를 추론할 수 있느냐, 베팅 금액을 유연하게 조정하여 다수시행을 통해 확률분포대로의 기댓값을 실제 결괏값으로 끌어낼 수 있느냐에 달려 있다.
이 영역에서는 모든 단일시행에서 무작위성이 작동한다. 즉 결괏값이 언제나 운이 좋거나 나쁘거나에 영향을 받는다. 운은 여러 번의 시행으로 상쇄되어 사라진다. 여기서 실력이란, 운이 좋아지게 하는 시도가 아니라 운이 상쇄되는 구조를 짜는 일이다. 주사위를 던지지 전에 이미 실력은 결정되어 있다.
복잡계에서의 실력이란 결국 의사결정의 질을 의미한다. 좋은 의사결정을 위해서는 어떤 투자 대상에 대해서 앞으로 일어날 수 있는 다양한 시나리오를 구성하고, 각 시나리오의 논리 고리를 세분화해서 가능성·타당성·개연성을 따져봐야 한다. 최종 단계인 개연성에서 확률을 정확히 숫자로 표현하는 것은 어렵지만, 가능성과 타당성 단계에서는 잘못된 의사결정을 상대적으로 쉽게 걸러낼 수 있다. 가능성과 타당성이 부족한 의사결정만 걸러내도 의사결정의 질이 유의미하게 높아질 수 있다.
<스토리텔링의 신뢰성 3단계, 어스워스 다모다란 「내러티브 앤 넘버스」>
- 가능성(possible): 사건이 발생할 확률이 0보다 높은가?
- 타당성(plausible): 사건이 발생할 구체적인 시나리오를 구성할 수 있는가?
- 개연성(probable): 위 시나리오가 발생할 확률이 50% 이상인가?
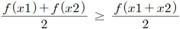
나심 탈레브는 확률을 계산하는 것보다는 노출을 조절하는 것이 훨씬 더 승률 높은 포트폴리오라고 주장한다. 그는 「안티프래질」에서 바벨 전략을 통해 불확실성을 성장의 기회로 만드는 방법을 제시했다. 바벨 전략이란, 극단적으로 위험을 회피하는 선택과 극단적으로 위험을 추구하는 선택을 병행하는 방법을 병행하는 것을 말한다. 이 개념을 이해하기 위해서는 함수의 볼록성(convexity)과 젠센 부등식(Jensen's Inequality)을 이해해야 한다.


젠센 부등식은 함수가 볼록한 경우 임의의 두 지점 x1, x2에서 함수의 평균값이 평균의 함수값보다 크거나 같음을 의미한다. 어떤 시스템이 볼록한 경우에는 모호하게 중간 정도의 시도를 하는 것보다는, 시도를 둘로 쪼개서 양극단의 시도를 했을 때 결괏값이 더 좋게 나온다.
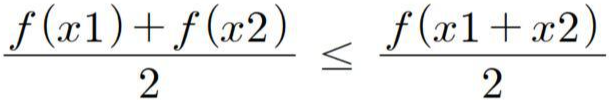
반대로 오목한 경우는 어떨까?


여기서는 젠센 부등식이 반대로 작동한다. 양극단값을 취할 경우의 결괏값이 중간값을 취할 경우보다 낮게 나온다. 운 좋게 좋은 결과가 여러 번 나왔더라도 한 번의 나쁜 결과로 그동안의 성과를 모두 날릴 수 있는 시스템이다. 시스템이 오목한 경우에는 어떤 위험한 시도도 해서는 안 된다.
확률분포 추론이 어려운 경우 시스템의 볼록성과 오목성에 따라서 위험을 다르게 짊어져야 한다. 우리 인생에서는 어떤 시스템이 볼록하고 어떤 시스템이 오목할까?
<오목한 시스템>
- 건강: 보통의 건강한 사람보다 더 많이 건강하다고 해서 할 수 있는 일이 대단히 많지는 않다. 그러나 건강이 악화되면 아주 많은 것을 잃는다. 따라서 건강을 유지하는데 지나친 노력을 쏟는 것보다는 건강을 해치는 행위를 피하는 것만으로도 충분할 수 있다.
- 사람들로부터 얻는 신뢰: 세상에서 가장 믿을 만한 사람이라고 해서 세상에서 두 번째로 믿을 만한 사람보다 무언가 대단히 뛰어난 건 아니다. 그러나 신뢰가 무너졌을 때의 타격은 어마어마하다.
- 편안하게 안정적으로 다닐 수 있는 직장: 다니는 동안은 큰 걱정이 없지만, 극단적인 상황(해고, 파산 등)이 벌어지면 큰 충격에 빠짐.
<볼록한 시스템>
- 교육: 교육비와 시간을 들이는 것 외에 잃는 것은 없다. 지금 배워놓은 지식과 기술이 언제 어떻게 쓰일지는 누구도 알 수 없다. 긴박한 상황에서 아주 큰 일을 해낼 수도 있다.
- 커뮤니티 활동: 들여야 하는 것은 택시비 정도, 좋은 사람들과 인연을 맺고 즐거운 시간을 보낼 수 있음.
- 여행: 경비와 시간은 고정적으로 들어가는 비용인 반면, 만족도의 상한은 상당히 높다.
- 급여가 낮고 업무 강도가 높지만 성과에 대한 보상이 철저하고 승진가능성이 큰 직장(업사이드의 최대폭이 큰 직장)
책 내용이 좋아 PART별로 인상적이었던 내용들 위주로 정리해봤다. 마지막 인생 이야기에서 다시 한 번 진채님의 진심이 느껴졌다. "주식투자의 세계에 발을 담근 당신, 앞날이 험난하겠지만 부디 무사히 뜻한 바 이루시기를 바라며 글을 마칩니다."라고 말하며 책이 끝난다. 처음 책 표지를 봤을 때는 두 손 모아 기도하는 느낌이 나길래 '주식투자 성공을 기원하는 건가(일종의 기도매매^^)?'하며 웃었는데, 다 읽고나니 한 단계 더 높은 마음이 느껴졌다. 책제목 잘 지었네!
이 책의 또 하나의 장점은 <더 깊이 알고 싶다면> 코너에 좋은 추천서들이 있다는 점이다. 하나씩 읽다보면 시간이 금방 갈 듯하다. 그와 더불어 내공도 성장하길 바래본다.
'작은 부자 프로젝트 > CNS투자책방' 카테고리의 다른 글
| 「투자의 태도」 (0) | 2021.01.28 |
|---|---|
| 「주린이가 가장 알고 싶은 최다질문 TOP 77」 (0) | 2021.01.15 |
| 「주식부자 프로젝트」 (0) | 2020.12.30 |
| 「자본 없는 자본주의」 (0) | 2020.11.30 |
| 「회계는 필요없다」 (0) | 2020.11.30 |
| 「최고의 주식, 최적의 타이밍」 (3) | 2020.11.29 |